Kartesischen Koordinaten in Kugelkoordinaten Umrechnungsrechner
Kartesischen Koordinaten in Kugelkoordinaten Diagramm

Dieser Kugelkoordinaten Umrechnungsrechner wandelt die kartesischen Koordinaten einer Einheit gemäß den oben gezeigten Formeln in ihren entsprechenden Wert in Kugelkoordinaten um.
Kartesische Koordinaten werden durch 3 Werte (x, y, z) dargestellt. Bei der Umwandlung in Kugelkoordinaten werden die neuen Werte als (r, θ, φ) dargestellt.
Um diesen Rechner zu verwenden, gibt ein Benutzer einfach die (x, y, z) Werte der kartesischen Koordinaten ein und klickt dann auf die Schaltfläche 'Berechnen' und die Kugelkoordinaten werden automatisch berechnet und unten angezeigt.
Dieser Rechner kann verwendet werden, um zweidimensionale (2D) oder dreidimensionale kartesische Koordinaten in ihre entsprechenden Kugelkoordinaten umzurechnen. Wenn Sie eine kartesische 2D-Koordinate umwandeln möchten, gibt der Benutzer nur Werte in die Felder der Form x und y ein und lässt das dritte Feld, das z-Feld, leer. Wenn Sie eine rechteckige Koordinate in 3D umwandeln möchten, gibt der Benutzer Werte in die 3 Formularfelder x, y und z ein.
Standardmäßig berechnet der Rechner das Ergebnis in Grad. 
Über das Dropdown-Menü kann die Option jedoch in Bogenmaß geändert werden, 
sodass das Ergebnis im Bogenmaß berechnet wird.
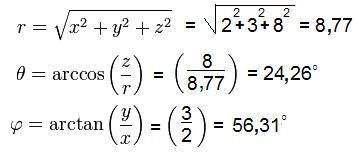
Berechnungsbeispiel
Konvertieren Sie die kartesischen Koordinaten (2, 3, 8) in ihre entsprechenden Kugelkoordinaten.
Diese Antwort wird in Grad berechnet.
Ähnliche Ressourcen
	  
		Kugelkoordinaten in Kartesischen Koordinaten Umrechnungsrechner
  
		Kartesischen Koordinaten in Zylinderkoordinaten Umrechnungsrechner
 
		 
		Kugelkoordinaten in Zylinderkoordinaten Umrechnungsrechner
 
		Zylinderkoordinaten in Kartesischen Koordinaten Umrechnungsrechner
  
		Zylinderkoordinaten in Kugelkoordinaten Umrechnungsrechner
 
	 
